Black Body Radiation Derivation Pdf

Revision of waves in a box. A simple derivation of plancks law used to describe black body radiation.

Total Spectral Distributions From Hawking Radiation Springerlink
link.springer.com

Sometimes indeed a warm box with a small hole in it is used to emulate blackbody radiation.

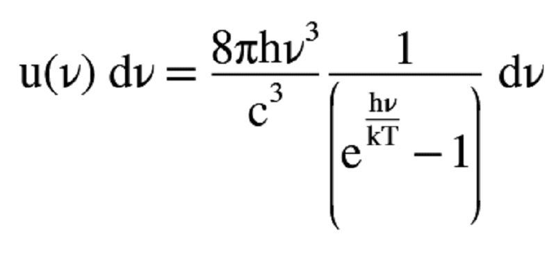
Black body radiation derivation pdf. A good description is in r. A simple derivation of plancks law used to describe black body radiation. It has a specific spectrum of wavelengths inversely related to intensity that depend only on the bodys temperature which is assumed for the sake of calculations and theory to be.

Put another way a black body will radiate in the same way as will a small hole pierced in the side of an enclosure. Blackbody radiation a blackbody is a surface that completely absorbs all incident radiation emits radiation at the maximum possible monochromatic intensity in all directions and at all wavelengths. This radiation consists of electromagnetic waves.

There appears to be a lot of confusion over the use of the terms blackbody absorption and equilibrium in the derivation and use of the planck equation particularly for atmospheric radiative transfer. The equipartition theorem and the ultraviolet catastrophe. Plancks derivation of the energy density of blackbody radiation to calculate the number of modes of oscillation of electromagnetic radiation possible in a cavity consider a one dimensional box of side l.

Woods book physical. Plancks radiation law a mathematical relationship formulated in 1900 by german physicist max planck to explain the spectral energy distribution of radiation emitted by a blackbody a hypothetical body that completely absorbs all radiant energy falling upon it reaches some equilibrium temperature and then reemits that energy as quickly as it absorbs it. Black body radiation is the thermal electromagnetic radiation within or surrounding a body in thermodynamic equilibrium with its environment emitted by a black body an idealized opaque non reflective body.

The hole therefore absorbs like a black body and therefore by kirchhoffs law it also radiates like a black body. First it is important to understand the history of blackbody radiation. Radiation in thermal equilibrium.

Quantisation of radiation and the derivation of the planck spectrum. L x n 2 nx 1 2. All macroscopic objects in all temperature emit and absorb thermal radiation spontaneously.

Experience show that the temperature of a hot and a cold object placed close to each other equalize in vacuum as well. Chapter 10 the derivation of the planck formula topics the planck formula for black body radiation. Modern physics blackbody radiation.

The theory of the energy distribution of blackbody radiation was developed by planck and rst appeared in 1901. In equilibrium only standing waves are possible and these will have nodes at the ends x 0 l.

Quantum Statistics 48 Wien S Displacement Law Youtube
www.youtube.com

Hawking Radiation
www.worldscientific.com

Pdf Planck S Blackbody Radiation Law Presentation In Different
www.researchgate.net

Black Body Radiation Planck S Law Derivation Physics Forums
www.physicsforums.com

Http Www Ptep Online Com 2018 Pp 54 08 Pdf

Radiation Laws
www.pas.rochester.edu

The Bose Einstein Condensate Temperature Of An Ideal Blackbody
aip.scitation.org

Http Www Iucaa In Dipankar Ph217 Contrib Blackbody Pdf

Overcoming Black Body Radiation Limit In Free Space Metamaterial
iopscience.iop.org


0 Response to "Black Body Radiation Derivation Pdf"

Post a Comment

Iklan Atas Artikel

Iklan Tengah Artikel 1

Iklan Tengah Artikel 2

Iklan Bawah Artikel